练习第11题答案
B
练习第12题答案
A
练习第13题答案
B
练习第14题答案
A
练习第15题答案
100; 25; 484
练习第16题答案
解:(1)在串联电路中,

答:略。
练习第17题答案
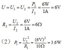
解:(1)在并联电路中,

答:略。
练习第11题答案
B
练习第12题答案
A
练习第13题答案
B
练习第14题答案
A
练习第15题答案
100; 25; 484
练习第16题答案
解:(1)在串联电路中,

答:略。
练习第17题答案
解:(1)在并联电路中,

答:略。
推荐阅读
上教版九年级下册英语知识与能力训练答案
年级:九年级
版本:上教版
科目:英语
学期:下册
名称:知识与能力训练
人教版九年级下册历史知识与能力训练答案
年级:九年级
版本:人教版
科目:历史
学期:下册
名称:知识与能力训练
人教版九年级下册语文知识与能力训练答案
年级:九年级
版本:人教版
科目:语文
学期:下册
名称:知识与能力训练
人教版九年级上册历史知识与能力训练答案
年级:九年级
版本:人教版
科目:历史
学期:上册
名称:知识与能力训练
人教版九年级上册语文知识与能力训练答案
年级:九年级
版本:人教版
科目:语文
学期:上册
名称:知识与能力训练
鲁教版语文书九年级下册答案
年级:九年级
版本:鲁教版
科目:语文
学期:下册
名称:课本
北师大版数学书九年级下册答案
年级:九年级
版本:北师大版
科目:数学
学期:下册
名称:课本
人教版语文书九年级下册答案五四制
年级:九年级
版本:人教版
科目:语文
学期:下册
名称:课本
华东师大版数学书九年级下册答案
年级:九年级
版本:华东师大版
科目:数学
学期:下册
名称:课本
苏科版数学书九年级下册答案
年级:九年级
版本:苏科版
科目:数学
学期:下册
名称:课本
湘教版数学书九年级下册答案
年级:九年级
版本:湘教版
科目:数学
学期:下册
名称:课本
鲁教版数学书九年级下册答案五四制
年级:九年级
版本:鲁教版
科目:数学
学期:下册
名称:课本
译林版英语书九年级下册答案
年级:九年级
版本:译林版
科目:英语
学期:下册
名称:课本
沪教版英语书九年级下册答案
年级:九年级
版本:沪教版
科目:英语
学期:下册
名称:课本
外研版英语书九年级下册答案
年级:九年级
版本:外研版
科目:英语
学期:下册
名称:课本
九年级下册语文课时练答案人教版
年级:九年级
版本:人教版
科目:语文
学期:下册
名称:课时练
九年级下册数学长江作业本答案人教版
年级:九年级
版本:人教版
科目:数学
学期:下册
名称:长江作业本
人教版九年级下册数学作业本答案江西省
年级:九年级
版本:人教版
科目:数学
学期:下册
名称:作业本
人教版九年级上册英语书答案
年级:九年级
版本:人教版
科目:英语
学期:上册
名称:课本
九年级上册语文学法大视野答案北师大版
年级:九年级
版本:北师大版
科目:语文
学期:上册
名称:学法大视野
九年级下册历史与社会思想品德课时特训答案人教版
年级:九年级
版本:人教版
科目:思想品德
学期:下册
名称:课时特训
九年级下册数学同步训练答案人教版
年级:九年级
版本:人教版
科目:数学
学期:下册
名称:同步训练
九年级下册语文新编基础训练答案苏教版
年级:九年级
版本:苏教版
科目:语文
学期:下册
名称:新编基础训练
九年级上册物理同步训练答案人教版
年级:九年级
版本:人教版
科目:物理
学期:上册
名称:同步训练
人教版九年级上册语文作业本答案
年级:九年级
版本:人教版
科目:语文
学期:上册
名称:作业本
